7. Puut ja rekursio
Puu (tree) on tietorakenne, joka muodostuu eri tasoilla olevista solmuista (node). Puiden avulla voidaan esittää hierarkioita, joissa eri tasoilla olevat solmut ovat yhteydessä toisiinsa.
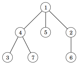
Tarkastellaan esimerkkinä seuraavaa puuta:

Tässä puussa on seitsemän solmua, jotka ovat kolmella tasolla.
Puun ylin solmu on nimeltään juuri (root). Solmun lapsi (child) on yhtä alemmalla tasolla oleva solmu, johon pääsee kulkemaan solmusta. Solmun vanhempi (parent) on solmu, jonka lapsi solmu on. Jos solmulla ei ole lapsia, se on lehti (leaf).
Esimerkissä puun juuri on solmu 1. Solmun 1 lapset ovat solmut 4, 5 ja 2. Solmun 4 vanhempi on solmu 1. Puun lehtiä ovat solmut 3, 7, 5 ja 6.
Jokaisella solmulla juurta lukuun ottamatta on tarkalleen yksi vanhempi. Tämän vuoksi on olemassa yksikäsitteinen reitti juuresta mihin tahansa solmuun kulkemalla yhteyksiä alaspäin. Juurella ei ole vanhempaa.
Solmun alipuu (subtree) sisältää solmut, joihin pääsee kulkemalla solmusta alaspäin yhteyksiä pitkin. Esimerkissä solmun 1 alipuu sisältää puun kaikki solmut ja solmun 4 alipuu sisältää solmut 4, 3 ja 7.
Solmun syvyys (depth) tarkoittaa, miten matalalla solmu on puussa. Juuren syvyys on 0 ja muilla solmuilla syvyys on yhtä suurempi kuin niiden vanhemman syvyys. Esimerkissä solmun 1 syvyys on 0, solmun 4 syvyys on 1 ja solmun 3 syvyys on 2.
Puun korkeus (height) on suurin puussa esiintyvä solmun syvyys. Esimerkissä puun korkeus on 2, koska solmujen 3, 7 ja 6 syvyys on 2.
Puun käsittely
Voimme esittää puun solmun Pythonissa seuraavan luokan Node avulla:
class Node:
def __init__(self, value, children=[]):
self.value = value
self.children = children
def __repr__(self):
return str(self.value)
Solmun luonnissa annetaan kaksi tietoa: solmussa oleva arvo sekä lista solmun lapsista. Jos listaa ei anneta, se on oletuksena tyhjä. Esimerkiksi seuraava koodi luo kolme solmua niin, että solmut 2 ja 3 ovat solmun 1 lapsia.
node2 = Node(2)
node3 = Node(3)
node1 = Node(1, [node2, node3])
Solmun merkkijonoesityksenä on solmussa oleva arvo:
node = Node(1)
print(node) # 1
Tämän luokan avulla puu voidaan määritellä rakentamalla sen juurisolmu. Esimerkiksi seuraava koodi luo luvun alussa olleen esimerkkipuun:
tree = Node(1, [Node(4, [Node(3), Node(7)]),
Node(5),
Node(2, [Node(6)])])
Puun läpikäynti
Luonteva tapa käsitellä puuta on käyttää rekursiota. Esimerkiksi seuraava funktio traverse käy läpi kaikki solmut, jotka ovat solmun node alipuussa:
def traverse(node):
print(node)
for child in node.children:
traverse(child)
Kun funktiolle annetaan viittaus puun juureen, funktio käy läpi kaikki puun solmut:
traverse(tree)
Esimerkkipuussa funktion tulostus on seuraava:
1
4
3
7
5
2
6
Funktio traverse tulostaa ensin sille annetun solmun arvon (node.value). Tämän jälkeen funktio käy läpi kaikki solmun lapset (node.children) ja kutsuu jokaisen lapsen kohdalla itseään rekursiivisesti.
Voimme vielä selventää funktion toimintaa muuttamalla sitä seuraavasti:
def traverse(node):
print("enter", node.value)
for child in node.children:
traverse(child)
print("leave", node.value)
Nyt funktio tulostaa ”enter \(x\)”, kun solmun \(x\) käsittely alkaa, ja ”leave \(x\)”, kun solmun \(x\) käsittely päättyy. Esimerkkipuussa funktio tulostaa:
enter 1
enter 4
enter 3
leave 3
enter 7
leave 7
leave 4
enter 5
leave 5
enter 2
enter 6
leave 6
leave 2
leave 1
Tiedon laskeminen puusta
Puita käsitellään usein funktioilla, jotka laskevat rekursiivisesti jonkin puuhun liittyvän tiedon. Tarkastellaan esimerkkinä funktiota count_nodes, joka laskee, montako solmua on solmun node alipuussa:
def count_nodes(node):
result = 1
for child in node.children:
result += count_nodes(child)
return result
Funktiota voidaan käyttää näin:
tree = Node(1, [Node(4, [Node(3), Node(7)]),
Node(5),
Node(2, [Node(6)])])
print(count_nodes(tree)) # 7
Funktio laskee solmujen määrän muuttujaan result. Muuttujan alkuarvo on 1, jolloin siihen on laskettu mukaan solmu node. Tämän jälkeen funktio käy läpi solmun lapset ja laskee mukaan rekursiivisesti solmujen määrät lasten alipuissa. Lopuksi funktio palauttaa solmujen määrän.
Katsotaan tarkemmin, miten funktio laskee solmujen määrän esimerkissä:

Kun funktiolle annetaan viittaus solmuun 1, muuttuja result on alussa 1 ja funktio lisää siihen silmukassa solmun 1 lasten solmujen määrät. Solmun 1 lapset ovat solmut 4, 5 ja 2. Solmun 4 alipuussa on 3 solmua, solmun 5 alipuussa on 1 solmu ja solmun 2 alipuussa on 2 solmua. Niinpä muuttujaan result lisätään määrät 3, 1 ja 2 ja solmujen määräksi saadaan 1 + 3 + 1 + 2 = 7.
Voimme vielä selventää funktion toimintaa lisäämällä siihen tulostusta:
def count_nodes(node):
result = 1
for child in node.children:
result += count_nodes(child)
print("subtree of node", node, "has", result, "nodes")
return result
Tämän muutoksen jälkeen funktio tulostaa jokaisesta solmusta tiedon, montako solmua sen alipuussa on:
subtree of node 3 has 1 nodes
subtree of node 7 has 1 nodes
subtree of node 4 has 3 nodes
subtree of node 5 has 1 nodes
subtree of node 6 has 1 nodes
subtree of node 2 has 2 nodes
subtree of node 1 has 7 nodes
Monia puihin liittyviä asioita voidaan laskea samalla idealla: määritellään sopivat muuttujat, käydään läpi silmukassa solmun lapset rekursiivisesti ja päivitetään muuttujia sopivalla tavalla. Esimerkiksi seuraava funktio count_height laskee puun korkeuden eli suurimman puussa olevan solmun syvyyden:
def count_height(node):
result = 0
for child in node.children:
result = max(result, count_height(child) + 1)
return result
Tässä tapauksessa silmukka käy läpi solmun lapset ja valitsee funktion max avulla suurimman alipuun korkeuden, johon lisätään 1. Esimerkkipuussa solmun 1 lasten alipuiden korkeudet ovat 1, 0 ja 1. Näistä valitaan suurin korkeus 1, johon lisätään 1, josta saadaan solmun 1 alipuun korkeudeksi 2.
Syvyyksien käsittely
Välillä hyödyllinen tekniikka on lisätä rekursiiviseen funktioon parametri, joka pitää yllä käsiteltävän solmun syvyyttä. Esimerkiksi seuraava funktio tulostaa puun jokaisen solmun syvyyden.
def traverse(node, depth):
print("node", node, "depth", depth)
for child in node.children:
traverse(child, depth + 1)
Funktiota kutsuttaessa juuren syvyydeksi annetaan 0, ja funktio kasvattaa syvyyttä yhdellä aina liikkuessaan alempaan solmuun. Funktiota voidaan käyttää näin:
tree = Node(1, [Node(4, [Node(3), Node(7)]),
Node(5),
Node(2, [Node(6)])])
traverse(tree, 0)
Tässä tapauksessa tulostus on:
node 1 depth 0
node 4 depth 1
node 3 depth 2
node 7 depth 2
node 5 depth 1
node 2 depth 1
node 6 depth 2
Tehdään seuraavaksi monimutkaisempi funktio get_depths, jonka tulisi palauttaa listana kaikkien puun solmujen syvyydet pienimmästä suurimpaan. Esimerkkipuussa funktion tulisi palauttaa lista [0, 1, 1, 1, 2, 2, 2]. Hyvä tapa tehdä tällainen funktio on tehdä sen avuksi toinen funktio, jolla on enemmän parametreja:
def get_depths(node):
depths = []
get_depths_helper(node, 0, depths)
return sorted(depths)
def get_depths_helper(node, depth, depths):
depths.append(depth)
for child in node.children:
get_depths_helper(child, depth + 1, depths)
Funktio toimii nyt näin:
tree = Node(1, [Node(4, [Node(3), Node(7)]),
Node(5),
Node(2, [Node(6)])])
print(get_depths(tree)) # [0, 1, 1, 1, 2, 2, 2]
Tässä funktio get_depths luo ensin listan depths solmujen syvyyksille. Tämän jälkeen funktio kutsuu funktiota get_depths_helper, joka lisää syvyydet listalle. Lopuksi funktio get_depths palauttaa listan järjestettynä.
Funktiolla get_depths_helper on kaksi lisäparametria: parametri depth pitää yllä tietoa solmun syvyydestä ja parametri depths on viittaus listaan, johon syvyydet tallennetaan. Huomaa, että koska Pythonissa lista välitetään viittauksena, kaikki syvyydet lisätään samalle listalle, joka on määritelty funktiossa get_depths. Tämän ansiosta tiedot saadaan kerättyä samalle listalle eri funktiokutsuista.
Tässä on vielä toinen tapa toteuttaa funktio get_depths, jossa funktiolle get_depths_helper ei anneta parametrina listaa vaan funktio palauttaa listan.
def get_depths(node):
return sorted(get_depths_helper(node, 0))
def get_depths_helper(node, depth):
depths = [depth]
for child in node.children:
depths += get_depths_helper(child, depth + 1)
return depths
Tässä tapauksessa funktio get_depths_helper muodostaa listan, johon lisätään ensin käsiteltävän solmun syvyys ja sitten alipuiden listat, jotka saadaan rekursiivisesti. Funktio get_depths saa lopulta listan, jossa on kaikkien solmujen syvyydet, ja funktio palauttaa tämän listan järjestettynä.
Luokka paremmaksi
Tarkastellaan vielä luokan Node määrittelyä:
class Node:
def __init__(self, value, children=[]):
self.value = value
self.children = children
def __repr__(self):
return str(self.value)
Luokka toimii tällaisenaan yleensä hyvin, mutta Pythonissa on yllättävä piirre, joka voi aiheuttaa ongelmia joissakin tilanteissa. Seuraava koodi esittelee asiaa:
node1 = Node(1)
node2 = Node(2)
node1.children.append(node2)
print(node1.children) # [2]
print(node2.children) # [2]
Tässä luotiin kaksi solmua, joilla ei ole lapsia, minkä jälkeen solmun 1 lapseksi lisättiin solmu 2. Yllättäen kuitenkin solmu 2 ilmestyi myös itsensä lapseksi.
Tämä ilmiö johtuu siitä, että oletusparametri [] luodaan vain kerran ja se on yhteinen kaikille metodikutsuille. Tämän vuoksi molemmat solmut viittaavat samaan tyhjään listaan, johon lisätty solmu näkyy kummallekin solmulle.
Voimme korjata asian muuttamalla alustusmetodia näin:
class Node:
def __init__(self, value, children=None):
self.value = value
self.children = children if children else []
def __repr__(self):
return str(self.value)
Nyt parametrin children oletusarvo on None. Jos parametria ei ole annettu, alustusmetodi luo tyhjän listan. Tämän muutoksen jälkeen jokainen olio saa oman tyhjän listan ja koodi toimii järkevästi:
node1 = Node(1)
node2 = Node(2)
node1.children.append(node2)
print(node1.children) # [2]
print(node2.children) # []
Vielä toinen puute luokassa on, että solmun tulostaminen näyttää vain solmussa olevan arvon eikä solmun lapsia:
tree = Node(1, [Node(2, [Node(3), Node(4)]), Node(5)])
print(tree) # 1
Pythonissa on periaatteena, että metodin __repr__ tulisi antaa sellainen merkkijonoesitys oliosta, joka luo olion. Tämä ei selkeästi toteudu tällä hetkellä.
Voimme korjata asian muuttamalla luokkaa näin:
class Node:
def __init__(self, value, children=None):
self.value = value
self.children = children if children else []
def __repr__(self):
if self.children == []:
return f"Node({self.value})"
else:
return f"Node({self.value}, {self.children})"
Tämän jälkeen solmun tulostaminen antaa merkkijonoesityksen, joka sisältää myös solmun lapset ja jonka perusteella olio voitaisiin luoda:
tree = Node(1, [Node(2, [Node(3), Node(4)]), Node(5)])
print(tree) # Node(1, [Node(2, [Node(3), Node(4)]), Node(5)])
Esimerkki: Työntekijät
Puiden avulla voidaan mallintaa monia hierarkisia rakenteita. Esimerkiksi organisaation henkilöstörakenne voidaan esittää puuna, jossa jokainen työntekijä on yksi puun solmuista ja solmun lapset ovat työntekijän alaiset.
Seuraavaan luokkaan voidaan tallentaa työntekijän nimi ja lista alaisista:
class Employee:
def __init__(self, name, subordinates=[]):
self.name = name
self.subordinates = subordinates
def __repr__(self):
return self.name
Luokkaa voidaan käyttää näin:
def list_employees(employee, level=0):
print(" "*(level*4), employee)
for subordinate in employee.subordinates:
list_employees(subordinate, level + 1)
staff = Employee("Emilia",
[
Employee("Antti"),
Employee("Leena", [Employee("Jussi")]),
Employee("Matti", [Employee("Sasu")])
])
list_employees(staff)
Koodin tulostus on:
Emilia
Antti
Leena
Jussi
Matti
Sasu
Esimerkki: Kuningattaret
Ongelman ratkaisuiden järjestelmällinen läpikäynti voidaan myös nähdä puun läpikäyntinä. Tämä menetelmä tunnetaan nimellä peruuttava haku (backtracking). Tarkastellaan esimerkkinä seuraavaa tehtävää:
Tehtävä
Monellako tavalla \(n \times n\) shakkilaudalle voidaan sijoittaa \(n\) kuningatarta niin, että mitkään kaksi kuningatarta eivät uhkaa toisiaan?
Esimerkiksi kun \(n=4\), ratkaisuja on \(2\):

Voimme lähestyä ongelmaa käymällä läpi puuta, jonka juurena on tyhjä ruudukko. Jokaisessa solmussa lapsia ovat ruudukot, joihin on lisätty kuningatar seuraavalle riville. Seuraava kuva näyttää osan tapaukseen \(n=4\) liittyvästä puusta:

Tällä tavalla voidaan käydä läpi kaikki mahdolliset tavat lisätä kuningattaret ruudukkoon ja laskea mukaan ratkaisut, joissa kaksi kuningatarta ei uhkaa toisiaan. Huomaa, että puuta ei ole olemassa valmiina muistissa vaan sitä rakennetaan samaan aikaan läpikäynnin kanssa.
Seuraava koodi toteuttaa läpikäynnin:
def count_queens(n):
return count(n, 0, [])
def count(n, row, queens):
if row == n:
return 1
result = 0
for col in range(n):
attacks = [attack(queen, (row, col)) for queen in queens]
if not any(attacks):
result += count(n, row + 1, queens + [(row, col)])
return result
def attack(queen1, queen2):
if queen1[0] == queen2[0] or queen1[1] == queen2[1]:
return True
if abs(queen1[0] - queen2[0]) == abs(queen1[1] - queen2[1]):
return True
return False
print(count_queens(4)) # 2
print(count_queens(8)) # 92
Funktiolle count annetaan kolme parametria: ruudukon koko, seuraavaksi lisättävän kuningattaren rivi sekä lista lisätyistä kuningattarista. Rivit ja sarakkeet on numeroitu \(0 \dots n-1\) ja kuningattaret esitetään muodossa \((y,x)\), jossa \(y\) ja \(x\) ovat kuningattaren rivi ja sarake. Funktio käy läpi kaikki sarakkeet ja jatkaa hakua rekursiivisesti tilanteissa, joissa kuningatar voidaan lisätä sarakkeeseen ilman, että se uhkaa aiemmin lisättyä kuningatarta.
Funktio attack tarkastaa, uhkaavatko kaksi kuningatarta toisiaan. Ensimmäinen ehto tarkastaa tapaukset, joissa kuningattaret uhkaavat toisiaan vaaka- tai pystysuuntaisesti. Toinen ehto puolestaan tarkastaa tapaukset, joissa kuningattaret uhkaavat toisiaan vinosuuntaisesti. Tämä voidaan tunnistaa siitä, että vaaka- ja pystysuuntaisten etäisyyksien itseisarvot ovat samat.
Koodissa on käytössä kätevä funktio any, joka palauttaa arvon True silloin, kun annetulla listalla on ainakin kerran arvo True. Niinpä not any(attacks) tarkoittaa, että jokainen listan attacks arvo on False eli lisättävä kuningatar ei uhkaa mitään aiemmin lisättyä kuningatarta.