8. Verkkoalgoritmit
Verkko (graph) on tietorakenne, joka muodostuu solmuista (node) ja kaarista (edge). Jokainen verkon kaari yhdistää kaksi solmua toisiinsa.
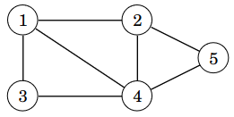
Esimerkiksi seuraavassa verkossa on viisi solmua ja seitsemän kaarta:

Solmun naapuri (neighbor) on toinen solmu, johon siitä pääsee kaarella. Esimerkiksi solmun 1 naapurit ovat solmut 2, 3 ja 4. Solmun aste (degree) on naapurien määrä. Esimerkiksi solmun 1 aste on 3, koska sillä on 3 naapuria.
Kahden solmun välinen polku (path) on kaaria pitkin kulkeva reitti. Tässä on joitakin mahdollisia polkuja solmusta 1 solmuun 5:
- 1 → 2 → 5
- 1 → 4 → 5
- 1 → 3 → 4 → 5
- 1 → 3 → 4 → 2 → 5
Esimerkkejä verkkojen käyttötarkoituksista:
- Tieverkko: Solmut ovat kaupunkeja ja kaaret ovat teitä. Kahden solmun välinen polku vastaa kahden kaupungin välistä reittiä.
- Kontaktiverkko: Solmut ovat ihmisiä ja kaaret ovat kontakteja. Kahden solmun välinen polku kuvaa, mitä kautta ihmiset tuntevat toisensa.
- Tietoverkko: Solmut ovat tietokoneita ja kaaret ovat yhteyksiä. Kahden solmun välinen polku kuvaa, mitä kautta voidaan välittää tietoa.
Verkot ohjelmoinnissa
Tavallinen tapa käsitellä verkkoa ohjelmoinnissa on pitää muistissa kunkin solmun vieruslistaa (adjacency list). Solmun \(x\) vieruslista sisältää kaikki solmut, joihin pääsee kaarella solmusta \(x\).
Pythonissa voimme tallentaa verkon sanakirjana, jossa avaimet ovat solmuja ja arvot vieruslistoja. Esimerkkiverkko voidaan tallentaa seuraavasti:
graph = {
1: [2, 3, 4],
2: [1, 4, 5],
3: [1, 4],
4: [1, 2, 3, 5],
5: [2, 4]
}
Usein on kätevää määritellä verkkoa varten luokka, jossa on metodi kaarien lisäämiseen. Luokka voidaan toteuttaa seuraavasti:
class Graph:
def __init__(self, nodes):
self.nodes = nodes
self.graph = {node: [] for node in nodes}
def add_edge(self, a, b):
self.graph[a].append(b)
self.graph[b].append(a)
Tässä konstruktorille annetaan lista nodes, jossa on verkon solmut. Tämän perusteella luodaan sanakirja graph, joka sisältää vieruslistat. Aluksi jokainen vieruslista on tyhjä, ja metodi add_edge lisää kaaren solmujen a ja b välille.
Nyt voimme luoda esimerkkiverkon näin:
g = Graph([1, 2, 3, 4, 5])
g.add_edge(1, 2)
g.add_edge(1, 3)
g.add_edge(1, 4)
g.add_edge(2, 4)
g.add_edge(2, 5)
g.add_edge(3, 4)
g.add_edge(4, 5)
Syvyyshaku
Syvyyshaku (depth-first search) eli DFS on menetelmä, jonka avulla voidaan käydä läpi kaikki verkon solmut, joihin pääsee lähtösolmusta kaaria pitkin. Syvyyshaku voidaan toteuttaa rekursiivisesti verkon vieruslistojen avulla.
Seuraava koodi toteuttaa syvyyshaun:
class DFS:
def __init__(self, nodes):
self.nodes = nodes
self.graph = {node: [] for node in nodes}
def add_edge(self, a, b):
self.graph[a].append(b)
self.graph[b].append(a)
def visit(self, node):
if node in self.visited:
return
self.visited.add(node)
for next_node in self.graph[node]:
self.visit(next_node)
def search(self, start_node):
self.visited = set()
self.visit(start_node)
return self.visited
Metodi search suorittaa syvyyshaun solmusta start_node alkaen ja palauttaa haun löytämät solmut. Metodi luo ensin joukon visited, johon merkitään, missä solmuissa haku on käynyt. Tämän jälkeen metodi kutsuu rekursiivista metodia visit, joka toteuttaa haun.
Metodi visit saa parametriksi vierailtavan solmun node. Jos haku on käynyt solmussa, metodin suoritus päättyy, ja muuten solmu lisätään joukkoon visited. Tämän jälkeen metodi käy läpi solmun node vieruslistan ja kutsuu itseään rekursiivisesti jokaiselle solmun node naapurille.
Seuraava koodi esittelee syvyyshaun toimintaa:
d = DFS([1, 2, 3, 4, 5])
d.add_edge(1, 2)
d.add_edge(1, 3)
d.add_edge(1, 4)
d.add_edge(2, 4)
d.add_edge(2, 5)
d.add_edge(3, 4)
d.add_edge(4, 5)
print(d.search(1))
Koodin tulostus on seuraava:
{1, 2, 3, 4, 5}
Tämä tarkoittaa, että solmusta 1 pääsee solmuihin 1, 2, 3, 4 ja 5 eli solmusta 1 pääsee kulkemaan kaikkiin verkon solmuihin.
Komponentit ja yhtenäisyys
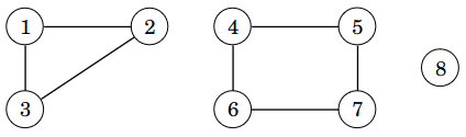
Verkon komponentti (component) sisältää solmut, jotka ovat yhteydessä toisiinsa kaaria pitkin. Esimerkiksi seuraavassa verkossa on kolme komponenttia: \(\{1,2,3\}\), \(\{4,5,6,7\}\) ja \(\{8\}\).

Verkko on yhtenäinen (connected), jos siinä on tasan yksi komponentti eli minkä tahansa kahden solmun välillä on reitti kaaria pitkin. Esimerkiksi seuraava verkko on yhtenäinen, koska sen ainoa komponentti on \(\{1,2,3,4,5\}\).

Esimerkiksi tieverkossa komponentti sisältää kaupungit, joiden välillä pystyy kulkemaan teitä pitkin. Tieverkko on yhtenäinen, jos minkä tahansa kahden kaupungin välillä on olemassa reitti teitä pitkin.
Syvyyshaun avulla voidaan etsiä verkon komponentit käymällä läpi verkon solmut ja aloittamalla uusi haku aina, kun vastaan tulee solmu, joka ei ole vielä missään komponentissa. Seuraava luokka Components toteuttaa etsinnän:
class Components:
def __init__(self, nodes):
self.nodes = nodes
self.graph = {node: [] for node in nodes}
def add_edge(self, a, b):
self.graph[a].append(b)
self.graph[b].append(a)
def visit(self, node):
if node in self.components:
return
self.components[node] = self.counter
for next_node in self.graph[node]:
self.visit(next_node)
def find_components(self):
self.counter = 0
self.components = {}
for node in self.nodes:
if node not in self.components:
self.counter += 1
self.visit(node)
return self.components
Muuttujassa counter on komponenttien määrä. Aina kun vastaan tulee solmu, joka ei ole vielä missään komponentissa, muuttujan arvo kasvaa yhdellä. Sanakirja components kertoo kunkin solmun komponentin, ja siihen merkitään syvyyshaun aikana nykyinen muuttujan counter arvo.
Luokkaa voidaan käyttää seuraavasti:
c = Components([1, 2, 3, 4, 5])
c.add_edge(1, 2)
c.add_edge(3, 4)
c.add_edge(3, 5)
c.add_edge(4, 5)
print(c.find_components()) # {1: 1, 2: 1, 3: 2, 4: 2, 5: 2}
Tässä tapauksessa verkossa on kaksi komponenttia. Ensimmäinen komponentti on \(\{1,2\}\) ja toinen komponentti on \(\{3,4,5\}\).
Leveyshaku
Leveyshaku (breadth-first search) eli BFS on toinen menetelmä verkon solmujen läpikäyntiin. Syvyyshaun tavoin leveyshaku aloittaa tietystä verkon solmusta ja käy kaikissa solmuissa, joihin alkusolmusta pääsee kaaria pitkin. Menetelmien erona on järjestys, jossa solmut käydään läpi.
Leveyshaku voidaan toteuttaa seuraavasti:
class BFS:
def __init__(self, nodes):
self.nodes = nodes
self.graph = {node: [] for node in nodes}
def add_edge(self, a, b):
self.graph[a].append(b)
self.graph[b].append(a)
def search(self, start_node):
visited = set()
queue = [start_node]
visited.add(start_node)
for node in queue:
for next_node in self.graph[node]:
if next_node not in visited:
queue.append(next_node)
visited.add(next_node)
return visited
Ideana on luoda lista queue, jossa on jono käsiteltävistä solmuista. Ensin listalle laitetaan alkusolmu start_node. Joka askeleella haku ottaa käsittelyyn seuraavan solmun node jonosta ja käy läpi solmun vieruslistan. Haku lisää jonon loppuun kaikki solmut, joihin solmusta node pääsee ja joita ei ole lisätty aiemmin.
Seuraava koodi esittelee leveyshaun toimintaa:
b = BFS([1, 2, 3, 4, 5])
b.add_edge(1, 2)
b.add_edge(1, 3)
b.add_edge(1, 4)
b.add_edge(2, 4)
b.add_edge(2, 5)
b.add_edge(3, 4)
b.add_edge(4, 5)
print(b.search(1))
Koodin tulostus on seuraava:
{1, 2, 3, 4, 5}
Lyhimmät polut ja etäisyydet
Kahden verkon solmun välinen lyhin polku (shortest path) on niiden välinen polku, jossa on mahdollisimman vähän kaaria. Solmujen etäisyys (distance) on niiden välisen lyhimmän polun pituus.
Esimerkiksi seuraavassa verkossa yksi lyhin polku solmusta 1 solmuun 5 kulkee ensin solmusta 1 solmuun 4 ja sitten solmusta 4 solmuun 5. Lyhimmällä polulla on 2 kaarta, joten solmujen 1 ja 5 etäisyys on 2.

Leveyshaun ominaisuutena on, että se käy solmut läpi järjestyksessä sen mukaan, mikä on niiden etäisyys lähtösolmusta. Tämän ansiosta leveyshaulla voidaan määrittää kunkin solmun etäisyys annetusta alkusolmusta sekä etsiä lyhin polku kahden solmun välillä.
Tarkastellaan ensin etäisyyksien laskemista. Seuraava luokka laskee etäisyydet alkusolmusta kaikkiin verkon solmuihin:
class Distances:
def __init__(self, nodes):
self.nodes = nodes
self.graph = {node: [] for node in nodes}
def add_edge(self, a, b):
self.graph[a].append(b)
self.graph[b].append(a)
def find_distances(self, start_node):
distances = {}
queue = [start_node]
distances[start_node] = 0
for node in queue:
distance = distances[node]
for next_node in self.graph[node]:
if next_node not in distances:
queue.append(next_node)
distances[next_node] = distance + 1
return distances
Koodi on muuten samanlainen kuin aiempi leveyshaun koodi, mutta joukon visited sijasta käytössä on sanakirja distances, johon lasketaan etäisyydet solmuihin. Jos käsittelyyn tulee solmu, jonka etäisyyttä ei ole vielä laskettu, sen etäisyydeksi tulee yhtä suurempi kuin edeltävän solmun etäisyys.
Luokkaa voidaan käyttää näin:
d = Distances([1, 2, 3, 4, 5])
d.add_edge(1, 2)
d.add_edge(1, 3)
d.add_edge(1, 4)
d.add_edge(2, 4)
d.add_edge(2, 5)
d.add_edge(3, 4)
d.add_edge(4, 5)
print(d.find_distances(1)) # {1: 0, 2: 1, 3: 1, 4: 1, 5: 2}
Tässä laskettiin etäisyydet alkusolmusta 1 verkon solmuihin:
- Etäisyys solmuun 1 on 0.
- Etäisyys solmuun 2 on 1.
- Etäisyys solmuun 3 on 1.
- Etäisyys solmuun 4 on 1.
- Etäisyys solmuun 5 on 2.
Leveyshaun avulla voimme myös toteuttaa luokan, jolla voi selvittää lyhimmän polun kahden solmun välillä:
class ShortestPaths:
def __init__(self, nodes):
self.nodes = nodes
self.graph = {node: [] for node in nodes}
def add_edge(self, a, b):
self.graph[a].append(b)
self.graph[b].append(a)
def find_path(self, start_node, end_node):
distances = {}
previous = {}
queue = [start_node]
distances[start_node] = 0
previous[start_node] = None
for node in queue:
distance = distances[node]
for next_node in self.graph[node]:
if next_node not in distances:
queue.append(next_node)
distances[next_node] = distance + 1
previous[next_node] = node
if end_node not in distances:
return None
node = end_node
path = []
while node:
path.append(node)
node = previous[node]
path.reverse()
return path
Metodille find_path annetaan solmut start_node ja end_node ja se etsii lyhimmän polun näiden solmujen välillä.
Sanakirja distances sisältää etäisyydet alkusolmusta solmuihin kuten ennenkin. Lisäksi sanakirja previous kertoo jokaisesta solmusta, mikä on sitä edeltävä solmu lyhimmällä polulla. Tämän avulla voidaan leveyshaun jälkeen etsiä askel kerrallaan lyhin polku käänteisesti loppusolmusta alkaen. Lopuksi muodostettu polku käännetään ympäri metodin reverse avulla.
Seuraava koodi esittelee luokan käyttämistä:
s = ShortestPaths([1, 2, 3, 4, 5])
s.add_edge(1, 2)
s.add_edge(1, 3)
s.add_edge(1, 4)
s.add_edge(2, 4)
s.add_edge(2, 5)
s.add_edge(3, 4)
s.add_edge(4, 5)
print(s.find_path(2, 4)) # [2, 4]
print(s.find_path(1, 5)) # [1, 2, 5]
print(s.find_path(5, 1)) # [5, 2, 1]
Labyrintti verkkona
Tarkastellaan seuraavaa labyrinttia, jossa valkoiset ruudut ovat lattiaa ja mustat ruudut ovat seinää:

Voimme käyttää syvyys- ja leveyshakua reittien etsimiseen labyrintissa. Tässä tapauksessa voimme ajatella, että verkon solmuja ovat labyrintin lattiaruudut ja kahden solmun välillä on kaari, jos ruudut ovat vierekkäin labyrintissa.
Yksi tapa toteuttaa haku olisi rakentaa ensin verkko labyrintin kuvauksen perusteella. Kuitenkin voimme myös toteuttaa haun suoraan labyrinttiin. Seuraava koodi näyttää, miten voimme käydä läpi labyrintin ruudut syvyyshaun avulla:
def explore(grid, y, x):
if grid[y][x] != 0:
return
print("visit", y, x)
grid[y][x] = 2
explore(grid, y - 1, x)
explore(grid, y + 1, x)
explore(grid, y, x - 1)
explore(grid, y, x + 1)
grid = [[1, 1, 1, 1, 1, 1, 1, 1],
[1, 0, 0, 0, 0, 0, 0, 1],
[1, 0, 1, 0, 1, 1, 0, 1],
[1, 0, 1, 1, 0, 0, 0, 1],
[1, 0, 0, 0, 0, 1, 0, 1],
[1, 1, 1, 1, 1, 1, 1, 1]]
explore(grid, 1, 1)
for row in grid:
print(row)
Labyrintti on tallennettuna kaksiulotteisena listana, jossa luku 0 tarkoittaa lattiaruutua ja luku 1 tarkoittaa seinäruutua. Funktio explore suorittaa syvyyshaun labyrintissa niin, että lattiaruutuihin merkitään luku 2.
Funktio explore tarkastaa ensin, mikä luku annetussa ruudussa on. Jos luku ei ole 0, funktio päättyy heti, koska kyseessä on silloin seinäruutu tai lattiaruutu, jossa on jo käyty aiemmin. Jos luku on 0, funktio jatkuu ja merkitsee ruutuun luvun 2. Tämän jälkeen funktio jatkaa rekursiivisesti hakua ruudun viereisiin ruutuihin ylös, alas, vasemmalle ja oikealle.
Koodin suoritus antaa seuraavan tuloksen:
visit 1 1
visit 2 1
visit 3 1
visit 4 1
visit 4 2
visit 4 3
visit 4 4
visit 3 4
visit 3 5
visit 3 6
visit 2 6
visit 1 6
visit 1 5
visit 1 4
visit 1 3
visit 2 3
visit 1 2
visit 4 6
[1, 1, 1, 1, 1, 1, 1, 1]
[1, 2, 2, 2, 2, 2, 2, 1]
[1, 2, 1, 2, 1, 1, 2, 1]
[1, 2, 1, 1, 2, 2, 2, 1]
[1, 2, 2, 2, 2, 1, 2, 1]
[1, 1, 1, 1, 1, 1, 1, 1]